
-S@
Leptons are a group of fundamental particles that includes the Electron. My goal with these illustrations are to show order among chaos.
Note: in active development. -S@
Lead Working Draft

by Sandy Flowers
The Active Lepton Study Draft 7/15/22 has an interesting characteristic which is that it replicates a pattern within itself. It’s slightly meta and makes me inclined to think this image is better because of balance. What is inside the light grey box labeled “Neutral Charge” is a pattern similar to that created with the entire diagram of Leptons leptons.
To help organize this sequence, it was arranged along The Four-Easy Pieces Special Line Segment a.k.a. the Diagram Master Key that was developed by Sandy Flowers to record complex interactions from embedded systems.

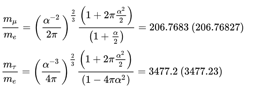
Electron comes in two heavier versions known formally as generations. It was found that these short-lived heavier versions of an electron and positron are generated under specific mass ratios. This is cool because of embedded systems theory.

Questions I am looking to answer:
- Are there three flavored (and three anti-flavored) neutrinos or is it considered one because of the “flavors in flight” aspect?
- Confirm the aspects of the Sterile Neutrino having one form, from which the other neutrinos morph? Non-zero neutrino mass?
- Review decay rate diagrams: illustrate connections to other particles.
- Confirm Neutrinos, when they are born, know when and where they are going to die? Fated?
- What are the additional traits of the Electron? Left-hand vs right handed? (exist within phase shift)
- Left-handed versus right-handed neutrinos.
Curious about the Diagram Master Key used?
Data organization for embedded systems are made easier with the Diagram Master Key and The Four Easy Pieces guiding logic-design.
References
@S- Retired Drafts -S@

This was better but by chance, I moved around the nuetrinos into a better orientation that when I put a box around, did something magical. This

This image is better because I seperated out the matter vs anti-matter versions. The color seemed to not be needed.

My first study. There are many things not accurate about this but I needed something to work on.
Ze is taking on new conversations. If you have any science, universal-mystery questions to be illustrated or just want to say hi, please get in touch with zer.
Zer Blog
What the First Image of Electromagnetism Reveals About Hidden Geometries
In 2015, a team of researchers led by Fabrizio Pizzazz and colleagues captured what is now considered the first direct visual image of an electromagnetic field. For many people, the image looked like a shimmering wave—an elegant interference pattern or a cloud of ripples frozen in time. But for those studying the geometric foundations of…
Where’s the Geometry? A Missing Link in the Foundations of Mathematics” Response to Quanta Magazine’s Article | Is Mathematics Mostly Chaos or Mostly Order? (Answer: A simple and Comprehensive Geometric Primer for Electromagnetism in Two Illustrations.)
Original Quanta Article Response to Quanta Article
